|
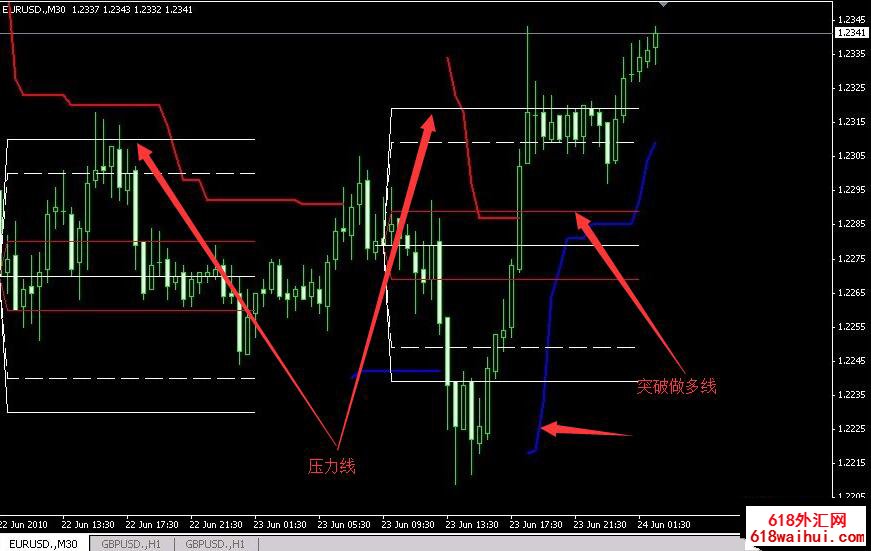
BatFink 蝙蝠外汇分析系统下载。BatFink 蝙蝠外汇分析系统中间两条红色线为方向选择线,让收盘价突破上边的红色线代表市场进入多头,建议做多为主,反之就是做空,价格到上边的白色线代表要注意行情变化短线建议离场本系统简单而又复杂,了解原理后对判断方向有很好的借鉴参考作用!
![]()
BatFink 蝙蝠外汇分析系统下载。
MT4平台技术指标、模板的安装方法:
MT4安装目录/MQL4/Indicators 为指标文件夹(放置mq4和ex4指标)
MT4安装目录/templates 为模板文件夹(放置tpl模板文件)
然后重新启动MT4平台,你的技术指标或者模板也就安装完毕了。
小编提示:本软件BatFink 蝙蝠外汇分析系统下载。仅供研究学习和参考之用,任何交易系统都不能保证百分百获利,如果你对MT4指标模板的安装和使用或者英文参数不够了解建议你不要购买!升级VIP高级会员,即可下载本站所有指标和EA,众多交易系统为你保驾护航,仅需几十美金可能改变你亏损的命运!
|










备案号: