|
CCI顺势指标的构造原理下载。一般情况下,当CCI指标的曲线在100和-100之间运行的时候,CCI指标的作用不大,可以考虑使用更敏感的技术指标,如KDJ随机指标来判断外汇价格的走势。顺势指标还有一个特点就是其波动于波动于正无限大和负无限小之间,但是不以零轴(0轴)为中间轴,一般情况下很少对于零轴附近的波动进行判定。当然之前的文章中也提到像特别大的数据行情不推荐使用CCI,但是在相对没有那么大的数据行情下,该指标对于相对极端的市场状态是会有比较好的效果的,而钝化的情况也能得到适当的规避,所以在短线中也时可以使用的。ATM_CCI过滤顺势指标下载
CCI顺势指标的超买和超卖:
简单的说,CCI指标的移动区间分为三类:高于+100水平位为超买区,低于-100水平位的为超卖区,而在+100和-100水平位之间的为震荡区。震荡区是比较难提供交易建议的。
下方的为超买情况的例子:
![]()
下方的为超卖情况的例子:
![]()
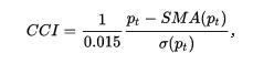
CCI顺势指标的计算方式:
![]()
或者:
![]()
或者:
CCI = ( M - A ) / ( 0.015 * D )
M = ( H + L + C ) /3
CCI(N日)=(TP-MA)÷MD÷0.015
其中,TP=(最高价+最低价+收盘价)÷3
MA=近N日收盘价的累计之和÷N
MD=近N日(MA-收盘价)的绝对值累计之和÷N
0.015为计算系数,N为计算周期/时间周期,也就是我们说的参数设置
这里需要补充一下,TP=Typical Price,MA指的是移动平均线,一般是参数为20的SMA
第二种计算方法表述为中价与中价的N日内移动平均的差除以N日内中价的平均绝对偏差
其中,中价等于最高价、最低价和收盘价之和除以3。平均绝对偏差为统计函数.如何使用CCI顺势指标下载
总结:根据上方的计算方式,我们可以发现CCI的计算其实是有点复杂的,但是由于系统或者指标自带计算能力,所以只要考虑参数设置就可以了。而需要在CCI指标上进行二次开发的投资者就需要在源代码上进行修改,一般情况下直接使用EX4文件的CCI指标就可以了。
常见CCI顺势指标图表详解:点击下方图片放大预览
图表中指标为:CCI过滤V1,CCI过滤V2,CCI过滤VX。
![]()
CCI顺势指标的构造原理下载。
|














备案号: